cbrn:atomar:strahlenschutzberechnungen
Auf dieser Seite sehen Sie die schreibgeschützte und geprüfte Version eines Artikels aus dem Einsatzleiterwiki-Projekt. Wenn Sie einen Artikel bearbeiten bzw. am Projekt aktiv mitarbeiten möchten, so besuchen Sie bitte das bearbeitbare Wiki. Für weitere Informationen zum Projekt allgemein rufen Sie bitte diese Seite auf.
Strahlenschutzberechnungen
Berechnung der erlaubten Dosisleistung aus der Transportkennziffer
Abschätzung der Dosisleistung bei bekannter Aktivität des Strahlers
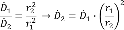
Umrechnung der Dosisleistung
Umrechnung der Aktivität
Umrechnung der Zeitdauer
Quellenangabe
- Ausbildungsunterlagen Lehrgang ABC 1 an der LFKS Rheinland-Pfalz im August 2007
Stichwörter
cbrn/atomar/strahlenschutzberechnungen.txt · Zuletzt geändert: von 127.0.0.1



Diskussion
Die Transportkennzahl wird mit TI angegeben, nicht mit TKZ.